加入收藏热线:18930058003

官方微博|手机网站|QQ客服

您当前位置: 主页 > 热风机选型表 > 高压型热风机选型表

高压型热风机选型表

产品分类:热风机选型表
产品型号:
品牌名称:
参 考 价:
适用范围:
产品简介:

上海冠顶公司TEL:18930058003有着20多年的从业经验,专业生产优质高压型工业热风机,热风机,工业热风机,通用型热风机,循环型工业热风机,便携式工业热风机,铸造型工业热风机,中压型工业热风机,热

价格咨询点击QQ客服:点击QQ客服
  • 产品介绍
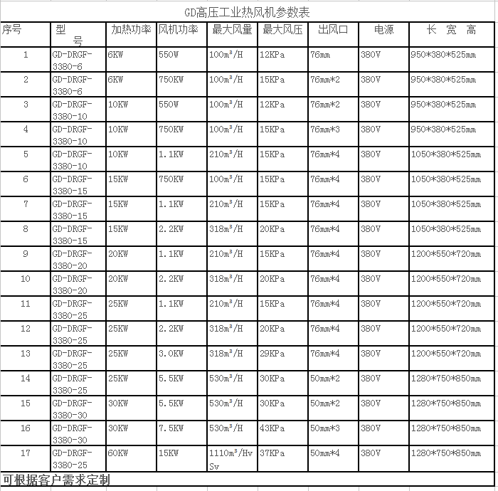
  • 高压型热风机选型表

    电热功率:3~200kw
    最大风量:6.8~27m³/min
    风压:1100~2650pa
    出口温度:常温~350℃
    入口温度:常温~230℃
    产品特点:热效率高。不间断连续工作、耐用持久、温控精准、可用于铸模、管道或交换器试压后干燥。风压最高可达60kpa,特备适用于工件的快速加热与干燥,风力强劲,高效节能。







    相关阅读:工业热风机系列                                标签:工业热风机生产厂家 | 上海工业热风机厂家

本类推荐

免费 销售 热线
18930058003

公司 总机 电话
021-67353639