高压型工业热风机
- 产品分类:热风机图片
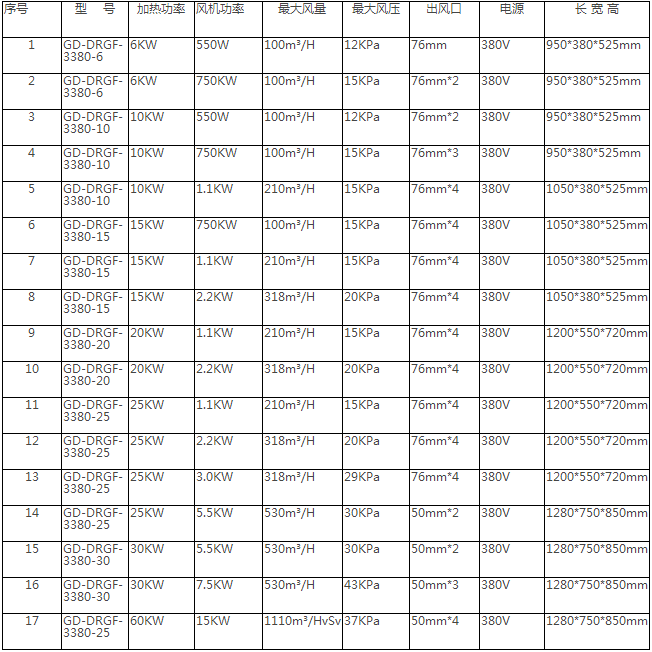
- 产品型号:
- 发布时间:2017-09-21 10:58
- 关 键 字:高压型工业热风机,高压型工业热风机生产厂家
- 产品简介:
高效节能
价格咨询点击QQ客服:

- 高压型工业热风机
高压热风机通电后,鼓风机把空气吹送到加热器里,令空气从螺旋状的电热丝内、外侧均匀通过,电热丝通电后产生的热量与通过的冷空气进行热交换,从而使用出风口的风温升高。出风口处的K型热电偶及时将探测到的出风温度反馈到温控仪,仪表根据设定的温度监测着工作的实际温度,并将有关信息传递回固态继电器进而控制加热器是否工作。同时,通风机可利用风量调节器(变频器、风门)调节吹送空气的风量大小,由此,实现工作温度、风量的调控。
另外,热风机还对通风机进风口、电机设置了超温保护回路及对总电路设置了急刹挚开关,更进一步完善对设备的保护。高压型热风机由鼓风机、加热器、控制电路三大部分组成。非磁性镍铬丝通电加热空气作热风源,干净卫生,符合环保。设有防干烧折断功能。巧妙风洞设计,空气从螺旋电热丝内/外侧均匀通过,热交换近100%,风压损失少,流量少。
微电脑PID/SSR控制,精度高,反馈快,持久耐用。设有多重过热过载保护装置,充分保证设备安全,可全年365日不停运转工作。出风口配K型热电偶,直接检测控制,出风温度恒定。纤维保温棉隔热,坚固机壳,使用安全可靠,可长期保持高温工作。连续使用温度可达350℃/650℃,应用广泛。循环热风发生机应用专利设计的散热装置,持续进风温度可达230℃,风量调节采用变频器调速,更显节能,可控性高,热损少等优异特性。
相关阅读:工业热风机系列 标签:工业热风机生产厂家 | 上海工业热风机厂家
本类推荐